Biochemistry Data.Olink oncology
“Assay FCRLB from Oncology panel. OlinkID=OID21193 Uniprot=Q6BAA4”
| Metadata | |
|---|---|
| notes | panel_lot=B04412, normalization=Intensity, MissingFreq=0.0008 |
| is_mandatory | No |

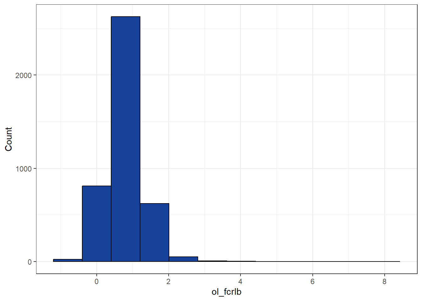
| mean | sd | min | q1 | med | q3 | max | mad | iqr | cv | skewness | se.skewness | kurtosis | n.valid | pct.valid |
|---|---|---|---|---|---|---|---|---|---|---|---|---|---|---|
| 0.79 | 0.55 | -1.01 | 0.47 | 0.76 | 1.05 | 7.82 | 0.43 | 0.58 | 0.7 | 2.69 | 0.04 | 25.59 | 4153 | 100 |
No agreement analysis available
International Coordinating Centre, China Kadoorie Biobank (CKB), CTSU, Nuffield Department of Population Health, University of Oxford Old Road Campus, Headington, Oxford, OX3 7LF
Tel: +44 (0)1865 743743 | Fax: +44 (0)1865 743985 | Email: ckbaccess@ndph.ox.ac.uk
Copyright China Kadoorie Biobank (CKB), University of Oxford, (2024)
Page generated: 27-02-2024